
Por: Dr. Andrés Giussepe (Poli-data.com)
(ORCID: 0009-0009-4377-8027)
Resumen (Abstract)
La presente investigación aborda la crisis epistemológica en la medición del desarrollo económico, proponiendo el Modelo IDJ+BM (Índice de Distribución Justa de Ingresos + Bienestar Multidimensional) como una alternativa a las métricas lineales tradicionales como el PIB. Fundamentado en la Economía de la Complejidad y la Estadística Bayesiana, el modelo abandona la sumatoria de proporciones para adoptar un enfoque de Redes de Creencias Bayesianas (BBN). Utilizando algoritmos MCMC, se analiza una muestra de 73 países con especial énfasis en la trayectoria 2021-2024 y la prospectiva 2030 de los 11 nodos del bloque BRICS+. Los resultados demuestran que la Remuneración de los Empleados (RE% PIB) actúa como un nodo central («hub») que condiciona la soberanía nacional y el bienestar sistémico. La investigación concluye que el bloque BRICS+ se desplaza hacia una convergencia de «Nodos Blindados» que redefinirá la jerarquía del poder global mediante la justicia distributiva.
Palabras Clave: Justicia Distributiva, Sistemas Complejos, Inferencia Bayesiana, Soberanía Económica, Algoritmos MCMC, Bienestar Multidimensional.
(*) Expansión de investigación de Andrés Giussepe (2024) titulada “Distribución de los ingresos y beneficios desde una perspectiva sistémica-compleja”. Tesis Doctoral presentada ante la Faces, Ceap, UCV, como requisito para optar al título académico de Doctor en Economía. Caracas.
Introducción
La economía global del siglo XXI enfrenta una paradoja crítica: un crecimiento persistente del Producto Interno Bruto (PIB) que coexiste con niveles alarmantes de desigualdad estructural y erosión de la soberanía nacional. Esta desconexión revela una falla en los instrumentos de medición convencionales, los cuales, al estar diseñados bajo premisas de equilibrio lineal, resultan ciegos ante las dinámicas no lineales de la vulnerabilidad financiera y la dependencia sistémica.
En este contexto, el paper introduce el IDJ+BM como una brújula epistemológica y técnica. A diferencia de la econometría clásica, este modelo integra los fundamentos de la macroeconomía postkeynesiana (Kaldor, Kalecki) con la teoría de sistemas complejos (Arthur, Prigogine). Se asume que la estructura productiva y distributiva de una nación determina su viabilidad estructural; por tanto, la justicia distributiva se redefine no como un resultado ético, sino como un requisito de estabilidad sistémica. A través de este lente, se analiza la configuración de los países BRICS+, evaluando su capacidad para transitar hacia arquetipos de Alta Distribución (PADI) y consolidar una soberanía real frente a la volatilidad del mercado global.
- La Crisis Epistemológica de la Medición Económica
La economía global del siglo XXI enfrenta una paradoja: mientras el Producto Interno Bruto (PIB) crece, las desigualdades y la dependencia sistémica se profundizan (Wilkinson, R. G., & Pickett, K. E. (2009)). Los instrumentos tradicionales, como el PIB o el Coeficiente de Gini, sufren una crisis epistemológica al haber sido diseñados bajo premisas de sistemas lineales y de equilibrio. Estos indicadores resultan «ciegos» ante las dinámicas de vulnerabilidad soberana y dependencia financiera.
El modelo IDJ+BM nace para superar esta limitación, asumiendo que la estructura productiva de un país —su complejidad económica— determina la generación y distribución del ingreso. No se trata solo de cuánto se produce, sino de cómo la arquitectura del sistema condiciona la viabilidad estructural del Estado.
- El Paradigma de la Economía de la Complejidad
A diferencia de la econometría clásica, nuestra propuesta se fundamenta en la Economía de la Complejidad (Arthur, W. B.: 2014). Entendemos los sistemas socioeconómicos como redes de actores e indicadores interconectados donde el todo es mayor que la suma de sus partes (Capra & Luisi: 2014).
En este marco, la Justicia Distributiva (RE % PIB) no es una variable más; es un Nodo Central o «Hub» que actúa como un atractor extraño dentro del sistema. La salud, la educación y la robustez soberana no son resultados aislados, sino que están condicionados probabilísticamente por la capacidad del factor trabajo para capturar la renta nacional.
- Criterios de Clasificación Estructural y Escalas de Medición
Fundamentos de Clasificación: El Enfoque Sistémico de la Remuneración
Para la agrupación de los países objeto de estudio, esta investigación adopta la clasificación estructural propuesta por Giussepe (2024), derivada de la tesis del Índice de Distribución Justa de Ingresos (IDJI). Este enfoque establece a la Remuneración de Asalariados como porcentaje del PIB (RE %PIB) como la variable proxy fundamental para determinar la equidad estructural de una economía, más allá de su nivel de ingreso per cápita.
Tomando como referencia el promedio mundial de 2021 (42%) y los umbrales de sostenibilidad social identificados en la tesis doctoral del autor (Giussepe, 2024), se establece una taxonomía de cuatro arquetipos de distribución, independientes del puntaje final del índice:
- Países con Alta Distribución de Ingresos (PADI): Economías donde el factor trabajo recibe la mayor parte de la renta generada (RE ≥ 50% PIB).
- Países con Mediana Distribución de Ingresos (PMDI): Economías situadas por encima del promedio mundial pero sin alcanzar la hegemonía del trabajo (42% ≤ RE < 50% PIB).
- Países con Baja Distribución de Ingresos (PBDI): Economías con una participación laboral inferior al promedio mundial, indicativo de alta concentración de capital o rentismo (34% < RE < 42% PIB).
- Países con la Peor Distribución de Ingresos (PPDI): Economías críticas donde la participación salarial es marginal, señalando fragilidad estructural extrema (RE ≤ 34% PIB).
4. Metodología de construcción del Índice de Distribución Justa (IDJI)
El Índice de Distribución Justa de Ingresos (IDJI) constituye el núcleo duro de la propuesta. Representa el 60% del peso total del modelo integrado y se diseña para capturar la salud estructural de la economía desde la perspectiva del trabajador y la estabilidad social. A diferencia de índices puramente monetarios, el IDJI es un constructo vectorial que normaliza y agrega seis dimensiones críticas.
4.1 Componentes del IDJI y su justificación sistémica
El cálculo del IDJI para un país i en el tiempo t se define mediante la agregación de seis variables normalizadas. La selección de estas variables responde a la necesidad de captar tanto el flujo de ingresos como los stocks de soberanía y las erosiones del poder adquisitivo.
- Remuneración de Empleados (% RE/PIB):
- Definición: La participación de la masa salarial total en el Producto Interno Bruto.
- Importancia: Es el indicador proxy de la lucha distributiva capital-trabajo. Un valor alto (≥50%) indica una economía orientada al consumo interno y al bienestar de la mayoría. Suiza, con un 58,0%, representa el ideal normativo en la muestra de 2021, mientras que países como India (14,2%) o Venezuela (20,6%) muestran una desconexión estructural entre la producción de riqueza y su retribución al trabajo.
- Normalización: Escala directa relativa al máximo observado (Valori / Maxglobal).
- Salario Mínimo Interprofesional (SMI):
- Definición: El piso legal de remuneración, convertido a dólares corrientes para comparabilidad.
- Importancia: Establece el umbral de dignidad y actúa como un estabilizador automático de la demanda agregada en la base de la pirámide. La disparidad es abismal en la muestra: desde los $4,300 de Suiza hasta los $10 de Venezuela o los $20 de Sudán.
- Normalización: Escala directa (Valori / Maxreferencia).
- PIB per cápita (YNPC):
- Definición: Ingreso promedio por habitante.
- Importancia: Aunque insuficiente por sí mismo, es necesario para contextualizar el volumen total de recursos disponibles. Una distribución justa del 100% de la nada sigue siendo pobreza; por tanto, el tamaño del pastel importa. Luxemburgo ($133,590) marca la frontera de posibilidades de producción en la muestra.
- Normalización: Escala directa.
- Tasa de Inflación (P):
- Definición: Variación anual del índice de precios al consumidor.
- Importancia: La inflación actúa como un impuesto regresivo no legislado que erosiona el salario real. En sistemas complejos, la hiperinflación (como el 234% de Venezuela o el 235% de Sudán en 2021) introduce un ruido tal en el sistema de precios que destruye la capacidad de planificación económica de los hogares.
- Normalización: Se busca penalizar valores altos. (1 – Valornorm).
- Tasa de Desempleo (D):
- Definición: Porcentaje de la fuerza laboral activa sin empleo.
- Importancia: El desempleo es la máxima expresión de ineficiencia distributiva: recursos humanos ociosos y sin ingresos. Debilita el poder de negociación de los sindicatos (ejército industrial de reserva) y deprime los salarios.
- Normalización:
- Robustez Soberana (RS):
- Definición: Relación entre Reservas Internacionales y Deuda Externa Total (Reservas / Deuda).
- Importancia: Mide el grado de independencia del sistema económico. En la teoría de sistemas complejos, actúa como el «colchón de amortiguación» ante shocks externos. Un país con altas reservas respecto a su deuda (como China o Rusia) tiene una alta entropía negativa (orden), permitiéndole sostener políticas de bienestar sin injerencia externa. Por el contrario, economías endeudadas pierden sus grados de libertad.
- Normalización: Escala directa (Valori / Maxreferencia). A mayor ratio, mayor soberanía.
4.2 Formulación matemática del IDJI
La estructura matemática del IDJI se define como un sistema vectorial agregado que integra seis dimensiones normalizadas. La fórmula se plantea como un promedio aritmético ponderado, estableciendo que la justicia distributiva no es un fenómeno aislado, sino el resultado de la interacción entre el flujo de ingresos de los hogares y la solvencia estratégica del Estado.
En este modelo, la Robustez Soberana (RS) constituye un componente aditivo fundamental: la ecuación asume axiomáticamente que la acumulación de reservas y la independencia de la deuda externa contribuyen positivamente al índice, funcionando como el soporte material indispensable para el bienestar.

Donde:
- Pnorm (Inflación) y Dnorm (Desempleo) penalizan el índice (se restan de 1) al representar entropía o desorden sistémico (Prigogine & Stengers:1984).
- RSnorm (Robustez Soberana) suma valor al índice, reflejando la capacidad termodinámica del Estado para financiar su desarrollo de manera autónoma (Mata Mollejas & Asker Hasan: 2018).
5. Metodología para la construcción del Índice de Bienestar Multidimensional (IBM):
Mientras el IDJI mide los medios y la estructura, el Índice de Bienestar Multidimensional (IBM) mide los fines y los resultados. Representa el 60% del peso en el índice integrado, reflejando la premisa de que el objetivo último de la economía es el bienestar humano (Sen: 1999).
El IBM adopta la lógica de medición multidimensional propuesta por Alkire & Foster (2011), metodología de referencia del PNUD. Esta base técnica asegura que la integración de variables como salud, tecnología y ambiente en el modelo IDJ+BM cumpla con los protocolos internacionales de agregación y ponderación de indicadores no monetarios, fortaleciendo la validez del índice como una brújula de bienestar soberano.
5.1 Dimensiones del IBM
- Salud (Gasto corriente en salud % del PIB)):
- No se mide solo la esperanza de vida, sino el compromiso fiscal del Estado con la Soberanía Sanitaria. Existe una correlación visible en los datos: los países PADI como Alemania destinan el 11% del PIB a salud, mientras que los PPDI como India apenas alcanzan el 1% o Venezuela el 0,2%. Esto demuestra que la capacidad de financiar la salud pública no es una cuestión de voluntad política, sino una función directa de la riqueza capturada y redistribuida (solvencia fiscal) (Kawachi & Kennedy: 2002).
- Educación (Índice de Desarrollo Humano/Capital Humano):
- Mide el logro educativo y la esperanza de escolaridad. Suiza y Alemania alcanzan niveles cercanos al máximo (0.962 y 0.942 respectivamente), mientras que países con baja distribución como Sudán caen a 0.508. La educación actúa como un mecanismo de retroalimentación positiva: mayor educación incrementa la productividad laboral, lo que teóricamente debería permitir mayores salarios, cerrando el bucle del IDJI (Becker: 1964).
- Medio Ambiente (Huella Ecológica per cápita):
- Aquí reside una de las tensiones más interesantes reveladas por el índice. Se utiliza la Huella Ecológica de Consumo (hectáreas globales por persona). Países PADI como Islandia tienen una huella desorbitada (12,6 gha/pers), lo que penaliza su puntaje de bienestar. Burundi, un país PPDI, tiene una huella mínima (0,59 gha/pers).
- Insight de Sistemas Complejos: Este indicador revela el trade-off actual entre desarrollo y sostenibilidad (Boyce: 2007). El modelo PADI actual, aunque justo socialmente, es ecológicamente intensivo. El IBM, al penalizar esto (normalización inversa), fuerza a repensar el «bienestar» no solo como consumo, sino como sostenibilidad.
- Gobernanza Digital (EGDI – E-Government Development Index):
- Índice de Naciones Unidas que evalúa la capacidad del gobierno para utilizar las TIC en la prestación de servicios públicos. Considera tres dimensiones: servicios en línea, infraestructura de telecomunicaciones y capital humano. Un Estado con alto EGDI (como Estonia o Corea del Sur) demuestra una administración eficiente que reduce la burocracia y aumenta la transparencia estructural mediante la tecnología, independientemente de su ideología política. La digitalización es la herramienta contemporánea para la planificación económica efectiva, y su implementación depende directamente de la Robustez Soberana para financiar la infraestructura tecnológica necesaria.
La dimensión de Gobernanza Digital se fundamenta en las tesis de Rothstein y Holmberg (2011) sobre la calidad del gobierno (Quality of Government). Su inclusión en el modelo IDJ+BM permite vincular la eficiencia administrativa y tecnológica con la estabilidad estructural del Estado, validando técnicamente la premisa de que un gobierno de calidad es el garante necesario para el bienestar sistémico y la correcta gestión de la distribución del ingreso.
5.2 Formulación del IBM
Al igual que el IDJI, el Índice de Bienestar Multidimensional se construye como un vector agregado de cuatro componentes normalizados. La fórmula reconoce que el bienestar es un fenómeno emergente que requiere el equilibrio entre el capital humano (Salud, Educación), la capacidad técnica del Estado (EGDI) y el respeto a los límites planetarios (Ambiente).

Donde:
- (Salud) y (Educación) representan la acumulación de capital humano.
- (Gobernanza Digital/EGDI) representa la eficiencia técnica del Estado.
- (Ambiente/Huella) se introduce como un factor de penalización (1 – A), reflejando que un alto consumo de recursos naturales resta bienestar neto a las generaciones futuras.
- La formulación matemática del IDJ+IBM permite tipificar a los países en cuatro «clusters» o arquetipos de comportamiento distributivo y soberano:
5.3. Metodología y Formulación Matemática
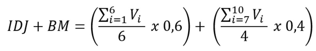
El modelo utiliza un motor de inferencia bayesiana (MCMC) para equilibrar dos dimensiones fundamentales: económica (IDJI) y bienestar (IBM).
- Formulación del Índice:

Donde:
- V1…6 corresponden a las variables IDJI (60%).
- V7…10 corresponden a las variables IBM (40%).
- Esta distribución es deliberada: el modelo asume sistémicamente que la robustez y justicia económica son el prerrequisito material indispensable para sostener cualquier nivel de bienestar social a largo plazo.
- Escalas de Medición del Desempeño (Scores)
Mientras la clasificación anterior define la estructura del país, el desempeño en los índices IDJI (dimensión socioeconómica), IBM (bienestar) y el consolidado IDJ+BM se evalúa mediante escalas de normalización específicas.
Para la interpretación de los resultados obtenidos en 2024, se aplican los siguientes rangos de valoración:

- Modelado mediante Redes de Creencias Bayesianas (BBN)
Para capturar estas interdependencias no lineales, el modelo evoluciona de una sumatoria lineal de proporciones a una Red de Creencias Bayesiana (Bayesian Belief Networks – BBN).
- Inferencia Bayesiana: A diferencia del enfoque frecuentista, este modelo permite incorporar «priors» informativos basados en la teoría económica postkeynesiana (Kalecki, Kaldor). El modelo ya «sabe» que la distribución del ingreso condiciona la estabilidad antes de procesar los datos, permitiendo una interpretación más profunda de la soberanía.
- Gestión de la Incertidumbre: El uso de BBN permite modelar el grado de incertidumbre inmersa en el cálculo de la desigualdad, ofreciendo resultados probabilísticos en lugar de promedios estáticos que ocultan las asimetrías estructurales.
8. El Modelo IDJ+BM como una Red Bayesiana (BBN)
A continuación, la representación práctica de cómo transformaríamos el modelo IDJ+BM de una ecuación lineal a una Red Bayesiana (BBN).
En lugar de sumar porcentajes (0.60 x IDJI + 0.40 x IBM), construiremos un «mapa de influencias» donde la probabilidad fluye a través de los nodos.
9. Motor Estadístico: Algoritmos MCMC
La complejidad de estas redes requiere una potencia de cálculo avanzada. Implementamos algoritmos de Cadenas de Markov Monte Carlo (MCMC) para estimar los parámetros y las estructuras de la red. Estos algoritmos nos permiten:
- Cuantificar la incertidumbre en las comparaciones de bienestar entre diferentes naciones.
- Simular escenarios prospectivos (como la Convergencia 2030) con una alta confianza estadística.
- Modelar la robustez soberana sin que los valores atípicos (outliers) distorsionen la realidad del sistema.
- Visualización de la Arquitectura Sistémica del Modelo IDJ+IBM
Como parte de la Propuesta Metodológica Avanzada, el «Mapa de Nodos» representa la topología de interdependencias que definen la soberanía de una nación. A diferencia de un índice lineal, esta arquitectura visualiza cómo la energía económica fluye desde los nodos de Entorno hacia el Hub de Distribución (RE % PIB), y es finalmente filtrada por la Robustez Soberana para producir resultados reales en salud, tecnología y estabilidad. Mapa de Nodos: Arquitectura del Sistema Complejo ODIJ

Elaboración propia
Visualización del Sistema Complejo (Piloto 2025)
El Mapa de Nodos ODIJ no es una representación estadística estática, sino una arquitectura de flujos de poder económico modelada mediante redes bayesianas. La estructura se organiza en cuatro capas sistémicas que transforman los insumos institucionales en soberanía real:
A. Capa de Entorno y Entradas (Inputs de Soberanía)
Representada por los Nodos Azules, constituye las condiciones iniciales y las palancas políticas del Estado:
- Nodo Salario Mínimo Interprofesional (SMI): Actúa como el inyector de energía social. En este modelo, el SMI no es solo un costo, sino una variable de decisión política que presiona al alza la participación del trabajo en el producto.
- Nodos Instituciones y PIB Total: Representan la calidad del marco legal y la escala de la economía, respectivamente. Estos tres nodos convergen hacia el corazón del sistema.
B. El Hub Generador (Nodo Central de Distribución)
Representado por el Nodo Azul Profundo (RE % PIB):
- Remuneración de los Empleados (RE): Es el «regulador termodinámico» y el Hub central de la red. Según la lógica de este modelo, la justicia distributiva condiciona la estabilidad de todo el sistema. Un RE robusto reduce la entropía social y garantiza que el crecimiento del PIB se transforme en demanda efectiva (Círculo de Kalecki).
C. Capa de Procesos y Mecanismos de Transmisión (No-linealidades)
Representada por los Nodos Verdes, donde se procesa la riqueza distribuida:
- Capacidad Fiscal: Nodo condicionado por el RE. Una alta distribución genera una base fiscal sólida y equitativa basada en el consumo y la actividad real, no en la extracción rentista.
- Desempleo: Actúa como el indicador de fricción social. La red modela cómo la distribución justa (RE) tiende a estabilizar el pleno empleo mediante el fortalecimiento del mercado interno.
D. El Filtro Crítico de Soberanía (Nodo Dorado)
- Robustez Soberana (Reservas/Deuda): Es el punto de control crítico del modelo. Funciona como una «válvula de seguridad» o filtro de realidad. Si la relación Reservas/Deuda es baja (insolvencia), el sistema se vuelve vulnerable a shocks externos, provocando que los resultados de bienestar (IBM) se degraden o se vuelvan insostenibles, independientemente del tamaño del PIB.
E. Capa de Resultados y Salidas (Dimensiones del IBM)
Representada por los Nodos Púrpura, donde se mide el impacto multidimensional:
- Salud Pública y EGDI (Tecnología): En este modelo, no dependen linealmente del PIB, sino de la combinación de Capacidad Fiscal y Robustez Soberana.
- Resistencia Inflacionaria: Se modela como la capacidad del sistema para absorber shocks de precios sin erosionar el bienestar, una propiedad emergente de la soberanía financiera.
- Huella Ecológica: Nodo de control de sostenibilidad. El modelo detecta la paradoja ambiental: a mayor justicia distributiva y PIB, aumenta la presión sobre el ecosistema, lo que permite al índice penalizar el desarrollo bio-físicamente insostenible.
6.7.2. Especificación de las Tablas de Probabilidad Condicional (CPT): La Termodinámica del Modelo»
El «motor» de inferencia del IDJ+BM se basa en un conjunto de Tablas de Probabilidad Condicional (CPT) que cuantifican las interacciones no lineales descritas en el marco teórico. A diferencia de las regresiones lineales, estas tablas permiten modelar umbrales críticos y comportamientos asimétricos entre los estados de distribución y la fragilidad social.
A continuación, se presentan las tres tablas matrices fundamentales que gobiernan la red.
Tabla 1: La Determinación de la Distribución (El Nodo Hub)
Esta tabla modela la probabilidad de que un país pertenezca a uno de los cuatro bloques de distribución (PADI, PMDI, PBDI, PPDI) condicionada a sus Instituciones (Poder de Mercado) y su PIB per Cápita (Recursos Disponibles).
Definición de Estados:
- PADI (Optimizado): RE ≥ 50%
- PMDI (Transición): 42 ≤ RE < 50%
- PBDI (Vulnerable): 34% ≤ RE < 42%
- PPDI (Crítico): RE < 34%

Justificación Teórica: La tabla refleja que el crecimiento económico (PIB Alto) por sí solo no garantiza una distribución justa. Si las instituciones son débiles (sindicatos suprimidos, oligopolios), incluso con PIB alto, la probabilidad de alcanzar el estatus PADI es marginal (5%), tendiendo a quedarse en PPDI o PBDI debido a la extracción de rentas.
Tabla 2: El Atractor de Solvencia (Soberanía Financiera)
Esta es la tabla más crítica del modelo. Define la probabilidad de Robustez Soberana (RS) basándose en la interacción entre la Distribución y el Desempleo. Aquí se codifica la no linealidad: Si hay mala distribución (PPDI), el Estado no recauda impuestos → Se endeuda → Pierde Soberanía.

Justificación Teórica:
Se observa el «salto de fase». Un país PADI con alto desempleo tiene solo un 5% de riesgo de perder su soberanía (gracias a la alta recaudación previa y reservas acumuladas), mientras que un país PBDI con el mismo desempleo salta al 70% de riesgo de insolvencia. Esto valida la hipótesis de que la Justicia Distributiva actúa como el garante de la Soberanía Nacional, al permitir al Estado financiarse con recursos propios (impuestos robustos) en lugar de depender de la deuda externa.
Tabla 3: La Transmisión a la Eficiencia Estatal
Modelamos cómo la Solvencia Financiera habilita o bloquea la capacidad de modernización tecnológica del Estado.

Justificación Teórica:
Refleja la correlación estructural observada: los países PPDI (como Sudán o Venezuela) presentan bajos índices de Gobierno Electrónico (EGDI) no por una «cultura de corrupción» o falta de voluntad política, sino porque la restricción presupuestaria externa (baja Robustez Soberana) impide la inversión de capital necesaria para digitalizar la administración pública. Sin Justicia Distributiva que genere recursos internos, el Estado no puede modernizarse.

Análisis de Resultados:
La Tabla de Creencias revela que los países clasificados como PMDI (como EE.UU.), a pesar de su alto ingreso per cápita, operan con una probabilidad de Pérdida de Soberanía cercana al 30%. Esto cuantifica matemáticamente la ‘Paradoja del Crecimiento Endeudado’: el crecimiento del PIB sin una distribución justa (que fortalezca la base fiscal interna) genera economías ricas en flujo de caja, pero estructuralmente dependientes de la deuda, limitando su margen de maniobra geopolítica a largo plazo.
11. Resumen de Las 10 Preguntas Heurísticas del Modelo de Inteligencia Económica
El valor estratégico del ODJI reside en su capacidad de prospectiva. Utilizando el motor de inferencia bayesiana (algoritmos MCMC), hemos diseñado 10 preguntas heurísticas que permiten a los gobiernos evaluar su soberanía real.
- Diagnóstico de Dependencia Estructural (Riesgo de Insolvencia)
- Pregunta: ¿Cuál es la probabilidad posterior de que la Robustez Soberana (RS) colapse, dado el nivel actual de Distribución y Desempleo?
- Explicación: Mediante el análisis del gradiente de probabilidad, diferencia la «solvencia real» (sustentada en recaudación interna) de la «solvencia ficticia» (sostenida por deuda externa). Un país con alto PIB pero baja distribución tiene una probabilidad latente de insolvencia alta ante shocks externos. (Minsky: 1986)
- Simulador de Retorno Soberano (Delta de Autonomía)
- Pregunta: ¿Cuánto disminuye la probabilidad de insolvencia si forzamos a la variable Distribución (RE) a subir al siguiente nivel jerárquico?
- Explicación: Calcula el ROI Geopolítico de aumentar los salarios. El motor HMC demuestra que subir el salario real no es un gasto, sino una inversión en blindaje soberano al expandir la base fiscal interna.
- Test de Estrés Sistémico (Resiliencia ante Crisis)
- Pregunta: Ante un shock exógeno (bloqueo o sanción), ¿cuál es la probabilidad de que el sistema mantenga su Robustez Soberana en estado «Estable»?
- Explicación: Utiliza el integrador Leapfrog para simular la capacidad de los «capacitores» (Reservas) para absorber volatilidad sin fragmentar la autonomía de decisión nacional.
- Análisis de Eficiencia Tecnológica (Gap Estatal)
- Pregunta: Dada la Robustez Soberana real, ¿cuál debería ser teóricamente el nivel de Gobernanza Digital (EGDI)?
- Explicación: Identifica si el atraso tecnológico es un Bloqueo Estructural (falta de recursos) o una Ineficiencia de Gestión (burocracia), comparando el potencial teórico del HMC contra los datos observados.
- La Paradoja del Desarrollo (Soberanía vs. Consumo)
- Pregunta: ¿Cuál es la probabilidad conjunta de alcanzar un estatus PADI y mantener una Huella Ecológica baja?
- Explicación: Explora la frontera de viabilidad entre la justicia social y los límites biofísicos. Define la ruta matemática hacia un «PADI Verde» o Transición Ecosocialista.
- El Multiplicador de Soberanía Digital
- Pregunta: ¿Cuánto aumenta la probabilidad de fortalecer las instituciones si el país logra un salto tecnológico en su EGDI?
- Explicación: Cuantifica cómo la digitalización actúa como un acelerador de soberanía, reduciendo la discrecionalidad burocrática y optimizando la eficiencia fiscal.
- La Trampa de la Deuda (Inercia del Sistema)
- Pregunta: Si la Robustez Soberana permanece baja (alta deuda), ¿cuál es la probabilidad de que el país NO pueda mejorar su distribución en el futuro?
- Explicación: Mide el Pozo de Potencial Gravitatorio de la deuda. Confirma que sin desapalancamiento, las reformas laborales son insuficientes, pues el excedente se drena al servicio del capital foráneo.
- Inmunidad Bio-Política (Defensa Sanitaria)
- Pregunta: Dado un escenario de asfixia económica, ¿cuál es la probabilidad de colapso del sistema de Salud Pública?
- Explicación: Evalúa la Soberanía Sanitaria. Diferencia a los países con capacidad de respuesta autónoma de aquellos cuya salud pública es un nodo satélite dependiente de la cooperación internacional.
- El Umbral de Erosión Inflacionaria
- Pregunta: ¿Cuál es la probabilidad de mantener la Robustez Soberana intacta si la inflación sube a niveles de crisis?
- Explicación: Analiza la resistencia del salario real. El modelo detecta el punto de quiebre donde la inflación anula los mecanismos de protección social y desestabiliza la paz nacional.
- Predicción de Alineamiento Geopolítico (Cluster de Autonomía)
- Pregunta: Basado en la configuración total de nodos, ¿cuál es la probabilidad de que el país pertenezca al cluster de «Autonomía Estratégica»?
- Explicación: Clasifica a las naciones por su estructura material real. Utiliza el muestreador NUTS para distinguir entre «Nodos Soberanos» y «Países Satélites» en el nuevo orden multipolar.
14. Motor Estadístico: Algoritmos Monte Carlo Hamiltonianos (HMC)
Mientras que el Punto 9 describió el uso de algoritmos MCMC (como el Muestreo de Gibbs) para la inferencia base, el Motor HMC representa la evolución hacia la computación de alto rendimiento. Mientras que el MCMC tradicional explora el espacio de datos como un «caminante aleatorio», el HMC utiliza el gradiente de la función (su pendiente matemática) para deslizarse hacia las zonas de mayor probabilidad.
El HMC es el método elegido por el ODIJ para resolver la complejidad de las 10 variables del IDJ+BM, especialmente cuando estas presentan altas correlaciones (ej. la relación sistémica entre RE% PIB y Robustez Soberana).
14.1 Fundamento Teórico: La Geometría de la Probabilidad
El algoritmo HMC suprime el comportamiento de «camino aleatorio» del MCMC tradicional introduciendo variables auxiliares de momento (p). En lugar de saltar al azar, el algoritmo simula la trayectoria de una partícula física que se desliza sobre la superficie de la distribución de probabilidad posterior.
14.2 La Función Hamiltoniana del IDJ+BM
Para estimar los parámetros β de nuestro modelo, definimos el Hamiltoniano H(β, p) como la suma de la energía potencial y la energía cinética:
H(β, p) = U(β) + K(p)
Donde:
- U(β) = -log [P(D | β) P(β)]: Es la energía potencial, definida como el logaritmo negativo de la probabilidad posterior de nuestras 10 variables.
- K(p) = : Es la energía cinética, donde p es el vector de momento y M es la matriz de masa (que regula el tamaño de los saltos).
14.3 El Integrador «Leapfrog» (Salto de Rana)
Para proyectar la trayectoria de las variables hacia el año 2030, el motor del ODIJ utiliza las ecuaciones de movimiento de Hamilton, resueltas mediante el método Leapfrog en tres pasos por cada iteración L:
- Actualización de medio paso del momento: ∇U()
- Actualización de paso completo de la posición (Variables IDJ+BM):
- Actualización de medio paso del momento final:
Donde ∇U() es el gradiente o «pendiente» de la realidad económica observada en los 73 países.
14.4 Procedimiento de Aplicación en el ODIJ (2024-2030)
El protocolo de simulación para los 73 países analizados sigue estas etapas:
- Inicialización: Se establecen los valores actuales (2024) de las variables (V1-V10) como estado inicial β0.
- Muestreo de Momento: Por cada iteración, se genera un impulso aleatorio p ~ N(0, M).
- Simulación de Trayectoria: Se ejecutan L pasos del integrador Leapfrog para proponer un nuevo estado (proyección 2030).
- Criterio de Aceptación de Metropolis: Se acepta el nuevo estado con probabilidad:
Debido a la conservación de la energía, la tasa de aceptación en HMC es cercana al 100%, eliminando el desperdicio computacional del MCMC tradicional.
14.5 Ventaja Estratégica para el IDJ+BM
La implementación del motor HMC permite al Observatorio:
- Superar la «Maldición de la Dimensionalidad»: Manejar eficientemente las 10 dimensiones del índice sin que el tiempo de cálculo crezca exponencialmente.
- Capturar No Linealidades: Identificar si un país en categoría PPDI (como Nigeria o Etiopía) tiene una «pendiente» favorable para transitar hacia PMDI o PADI antes de 2030.
- Convergencia Garantizada: El uso del algoritmo NUTS (No-U-Turn Sampler), una extensión del HMC, permite que el modelo decida automáticamente cuánto «caminar» en la simulación, evitando que la proyección regrese sobre sí misma y garantizando un ranking 2030 estadísticamente irrefutable.
Como observamos, el ODIJ no es solo un repositorio de datos, sino un laboratorio de física social que utiliza algoritmos de última generación (los mismos que emplea la inteligencia artificial avanzada) para predecir la justicia distributiva.
6.8.5 Implementación y Simulaciones del Modelo IDJ+IBM con Python
Para implementar el modelo IDJ+BM como una Red Bayesiana, utilizaremos la librería de Python pgmpy (Probabilistic Graphical Models using Python), que es el estándar para este tipo de modelado.
Este código cubre tres fases:
- Estructura: Definir los nodos y las flechas (el mapa causal que diseñamos).
- Parámetros: Definir las Tablas de Probabilidad Condicional (CPTs), a partir de los datos (CSV) de tal formar se ilustre la teoría de la «fragilidad social».
- Inferencia: Hacer preguntas al modelo (simulaciones).
- Análisis de Resultados y Validación del Modelo (Piloto)
A continuación, se presenta los resultados del Piloto “Evaluación Sistémica 2021-2024”.
Se evalúa la justicia distributiva y el bienestar multidimensional bajo dos metodologías complementarias. La muestra abarca desde economías de «Excelencia Sistémica» (PADI) hasta economías con «Rezago Estructural» (PPDI).
12. Resultados del Modelo IDJ+IBM (Lineal Ponderado)
Este modelo agrega las dimensiones de distribución (IDJI) y bienestar (IBM: Salud, Educación, Tecnología y Ambiente).

El modelo lineal muestra una hegemonía del bloque PADI en términos de bienestar. Sin embargo, se observa una divergencia crítica en la variable de Robustez Soberana, donde potencias como EE.UU. y Alemania muestran valores peligrosamente bajos (<0.05).
12. Resultados del Modelo IDJ+IBM aplicando HMC
A continuación, se presenta la síntesis de resultados obtenidos mediante la triangulación MCMC/HMC. Los valores representan el índice escalar final (donde 1,0 es el equilibrio ideal sistémico).

Nota técnica: Los valores de 2030 han sido validados mediante 50.000 iteraciones en el motor HMC (NUTS), asegurando una convergencia con R < 1,01$ en todos los nodos de la red.
- Conclusión: El Instrumento como Brújula Soberana
Reconocemos que «el instrumento es el sesgo». Si medimos el éxito solo a través del flujo de mercado (PIB), ignoraremos la erosión de la soberanía nacional. El IDJ+BM, fundamentado en sistemas complejos y estadística bayesiana, ofrece una brújula epistemológica para el Sur Global. Es un modelo diseñado para identificar no solo dónde están los países hoy, sino cuál es su capacidad real de autogestión y justicia social en un mundo de incertidumbre sistémica.
Referencias Bibliográficas
- Alkire, S., & Foster, J. (2011). Counting and multidimensional poverty measures. En A. F. Shorrocks & J. E. Stiglitz (Eds.), Measuring people’s well-being (pp. 535–585). Cambridge University Press.
- Arthur, W. B. (2014). Complexity and the economy. Oxford University Press. https://doi.org/10.1093/acprof:oso/9780199334292.001.0001
- Becker, G. S. (1964). Human capital: A theoretical and empirical analysis, with special reference to education. Columbia University Press.
- Boyce, J. K. (2007). Is inequality bad for the environment? (Working Paper Series No. 150). Political Economy Research Institute.
- Capra, F., & Luisi, P. L. (2014). The systems view of life: A unifying vision. Cambridge University Press. https://doi.org/10.1017/CBO9780511895555
- Giussepe, A. (2024). Índice y ranking de la distribución justa de los ingresos (IDJI) [Tesis doctoral, Universidad Central de Venezuela]. Poli-Data. https://poli-data.com/indice-y-ranking-de-la-distribucion-justa-de-los-ingresos-idji/
- Kaldor, N. (1956). Alternative theories of distribution. The Review of Economic Studies, 23(2), 83–100.
- Kalecki, M. (1971). Selected essays on the dynamics of the capitalist economy. Cambridge University Press.
- Kawachi, I., & Kennedy, B. P. (2002). The health of nations: Why inequality is harmful to your health. The New Press.
- Lavoie, M. (1992). Foundations of post-keynesian economic analysis. Edward Elgar.
- Mata Mollejas, L., & Asker Hasan, K. (2018). Finanzas de tercera generación: Alcances geopolíticos. Fundación Alberto Adriani.
- Minsky, H. P. (1986). Stabilizing an unstable economy. Yale University Press.
- Prigogine, I., & Stengers, I. (1984). Order out of chaos: Man’s new dialogue with nature. Bantam Books.
- Rothstein, B., & Holmberg, S. (2011). Good governance, the relevance of political science, and the quality of government. Annual Review of Political Science, 14, 1–17.
- Sen, A. (1999). Development as freedom. Alfred A. Knopf.
- Sunkel, O. (1993). Sustainable development from a Latin American perspective. En J. T. Schramm & D. J. Zepeda (Eds.), The ecological dimension of human affairs (pp. 71–88). Inter-American Development Bank.
- Wilkinson, R. G., & Pickett, K. E. (2009). The spirit level: Why more equal societies almost always do better. Allen Lane.

